Termodinámica
Termodinámica conceptos básicos
Intercambiadores de calor
Los intercambiadores de
calor son uno de los equipos de mayor uso en la industria. Son básicos en las
instalaciones de refrigeración, calefacción, aire acondicionado y de regulación
de la temperatura, puesto que están presentes en todas las instalaciones más
comunes y polivalentes. Es por esto por lo que, pese a que su funcionamiento es
muy sencillo (se basa en la termodinámica y en el intercambio de calor entre
dos fluidos), están presentes en una gran variedad de industrias, lo que ha
provocado que exista un amplio abanico de intercambiadores con diferentes
características.
FUNCIONAMIENTO DEL INTERCAMBIADOR DE CALOR
El llamado principio cero de la termodinámica es el que explica el funcionamiento del intercambiador de calor. Según este, cuando dos objetos (en nuestro caso, fluidos) a distinta temperatura entran en contacto, se produce una transferencia de calor entre ambos hasta que se llega al equilibrio térmico, es decir, hasta que sus temperaturas se igualan. Esto es perfectamente consecuente con la ley de la conservación de la energía, puesto que el flujo de calor también es una transferencia de energía y, por tanto, no es que el calor desaparezca, sino que fluye hacia el elemento con menor temperatura.
Los intercambiadores de calor (en su gran mayoría) fuerzan 3 transferencias de calor.
- Convectiva: el fluido caliente transmite su calor a la pared interna del tubo o de la placa.
- Conductiva: la que se produce a través de la propia placa o tubo.
- Convectiva: en este caso, el calor se transmite desde la parte externa del tubo o placa al fluido con menor temperatura.
De este modo, en estos aparatos el fluido a mayor temperatura va cediendo calor según va recorriendo el dispositivo. Esto implica que en cada momento el coeficiente de transferencia de calor por convección es diferente y, consecuentemente, también varía el coeficiente global de transmisión de calor. Para calcular el calor que se transmite o la temperatura final de los fluidos se aplica el método NUT. Al representar la curva de distribución de temperaturas en una gráfica, el eje X indica la longitud del intercambiador y el Y, la temperatura, siendo el resultado una curva logarítmica.
Dimensiones y unidades
Sistemas
CONVERSIONES DE UNIDADES DE UN SISTEMA A OTRO
Propiedades y estados
Propiedad extensiva e intensiva
En termodinámica, una variable extensiva es una magnitud cuyo valor es proporcional al tamaño del sistema que describe. Esta magnitud puede ser expresada como suma de las magnitudes de un conjunto de subsistemas que formen el sistema original. Por ejemplo la masa y el volumen son variables extensivas.
Una variable intensiva es aquella cuyo valor no depende del tamaño ni la cantidad de materia del sistema. Es decir, tiene el mismo valor para un sistema que para cada una de sus partes consideradas como subsistemas del mismo. La temperatura y la presión son variables intensivas.
Función de estado
Una función de estado es una propiedad de un sistema termodinámico que depende sólo del estado del sistema, y no de la forma en que el sistema llegó a dicho estado. Por ejemplo, la energía interna y la entropía son funciones de estado.
El calor y el trabajo no son funciones de estado, ya que su valor depende del tipo de transformación que experimenta un sistema desde su estado inicial a su estado final.
Las funciones de estado pueden verse como propiedades del sistema, mientras que las funciones que no son de estado representan procesos en los que las funciones de estado varían.
- Propiedad.
- Propiedad extensiva.
Una propiedad termodinámica es una característica de un sistema que puede observarse de manera directa o indirecta y no depende de la historia. Como características observables directas se pueden mencionar la presión la temperatura el peso el volumen etc. Algunas características observables de forma indirecta son el producto de la presión por la temperatura y de la presión por el volumen específico entre otras. La edad de un sistema no es una propiedad termodinámica ya que es necesario investigar la fecha de su creación y por tanto hace falta recurrir a su historia
Son aquellas que dependen del tamaño del sistema por ejemplo: la masa, el volumen y todas las clases de energía son propiedades extensivas o aditivas de manera que cuando las partes de un todo se unen se obtiene el valor total. Si un sistema está constituido por, subsistemas entonces el valor de una propiedad extensiva X para el sistema total siendo Xi la propiedad extensiva del subsistema i, será:
Son aquellas que son propias del sistema es decir no dependen del tamaño del sistema si un sistema se divide en dos partes una propiedad intensiva mantiene el mismo valor en cada parte que poseía en el total por lo tanto se definen en un punto. Son independientes del tamaño masa o magnitud del sistema (por ejemplo: la presión temperatura viscosidad y altura. Las propiedades intensivas se representan con letras minúsculas con la excepción de la temperatura T.
Son características que se pueden observar medir o cuantificar en las sustancias o en los sistemas. La cantidad y tipo de propiedades que se puedan establecer para un sistema dependen del tipo de observación que se halla establecido para el análisis del sistema. Por ejemplo si el enfoque usado es el macroscópico se pueden establecer propiedades como temperatura (T) presión (P) energía (e) energía interna (u) y entalpia (h) y otras que de ningún modo serían establecidas utilizando el enfoque microscópico. Para apropiar mejor esta definición a continuación se hace detalle sobre dos aspectos primordiales de las propiedades
1.2.1 Densidad, volumen especifico, peso especifico y gravedad especifica.
- Densidad.
La densidad es la cantidad de masa por unidad de volumen de una sustancia.
- Volumen especifico
Se define el volumen específico con base en la restricción del continuo. Por lo tanto, la definición matemática del volumen específico es donde u es la cantidad mínima de masa que resulta grande respecto a la masa que compone a una molécula individual. De nuevo esta restricción causa algunas dificultades cuando se examinan gases en condiciones de alto vacío o sistemas con volumen muy pequeño. El volumen específico es el inverso de la densidad o sea v = l/p
- Peso especifico
El peso específico es la cantidad de peso por unidad de volumen de una sustancia. Utilizando la letra griega ɣ (gamma) para denotar el peso específico. En donde V es el volumen de una sustancia que tiene el peso W. Las unidades del peso específico, son los newtons por metro cúbico (N/m3) en el SI y libras por pie cúbico (Ib/pie3) en el sistema Británico de Unidades.
- Gravedad especifica.
La gravedad especifica es el cociente de la densidad de una sustancia entre la densidad del agua a 4 C o es el cociente del peso específico de una sustancia entre el peso específico del agua a 4
1.3. Presión, presión absoluta, presión atmosférica, presión manométrica y presión de vacío

El principio cero de la termodinámica es una ley fenomenológica para sistemas que se encuentran en equilibrio térmico. En palabras simples, el principio dice que si se pone un objeto con cierta temperatura en contacto con otro a una temperatura distinta, ambos intercambian calor hasta que sus temperaturas se igualan. El principio establece que para todo sistema existe una propiedad denominada temperatura empírica θ, que es común para todos los estados de equilibrio termodinámico que se encuentren en equilibrio mutuo con uno dado.
1.4.1. Equilibrio térmico.
El equilibrio térmico es aquel estado en el cual se igualan las temperaturas de dos cuerpos, las cuales, en sus condiciones iniciales presentaban diferentes valores; una vez que las temperaturas se han equiparado, se suspende la transferencia de calor entre ambos cuerpos, alcanzándose con ello el mencionado equilibrio térmico del sistema termodinámico. Toda sustancia por encima de los 0 kelvin (-273,15 °C) emite calor. Si dos sustancias en contacto se encuentran a diferente temperatura, una de ellas emitirá más calor y calentará a la más fría. El equilibrio térmico se alcanza cuando ambas emiten, y reciben la misma cantidad de calor, lo que iguala su temperatura. Estrictamente sería la misma cantidad de calor por gramo, ya que una mayor cantidad de sustancia emite más calor a la misma temperatura.
1.4.2. Escalas de temperatura.
La temperatura es una propiedad de la materia que representa el movimiento interno de las partículas que la constituyen. El instrumento utilizado para medirla es el termómetro.
Las escalas de temperatura más usadas en la actualidad son:
Escala Celsius o centígrados (ºC)
Escala Fahrenheit (ºF)
Escala Kelvin (K)
Existe una cuarta escala, la escala Rankine, que se encuentra en desuso. Cada escala se basa en ciertos fenómenos o puntos fijos, que sirvieron para definir el rango y los grados de medición.
1.5. Principio de conservación de la masa
Ley de conservación de la materia, ley de conservación de la masa o ley de Lomonósov-Lavoisier es una ley fundamental de las ciencias. Fue elaborada independientemente por Mijaíl Lomonósov en 1748 y descubierta unos años después por Antoine Lavoisier en 1785.5 Se puede enunciar de la siguiente manera:
En un sistema aislado, durante toda reacción química ordinaria, la masa total en el sistema permanece constante, es decir, la masa consumida de los reactivos es igual a la masa de los productos obtenidos.
La ley implica que la masa no se puede crear ni destruir, pero puede transformarse en el espacio, o las entidades asociadas con ella pueden cambiar de forma. Por ejemplo, en las reacciones químicas, la masa de los componentes químicos antes de la reacción es igual a la masa de los componentes después de la reacción. Por lo tanto, durante cualquier reacción química y procesos termodinámicos de baja energía en un sistema aislado, la masa total de los reactivos o materiales de partida debe ser igual a la masa de los productos
1.6. Formas de energía
La energía ha constituido una pieza clave para el desarrollo de la humanidad. El hombre, desde el principio de su existencia, ha necesitado la energía para sobrevivir y avanzar. Pero ¿qué es la energía y por qué tiene tanta importancia?
La energía es la capacidad de los cuerpos para realizar un trabajo y producir cambios en ellos mismos o en otros cuerpos. Es decir, el concepto de energía se define como la capacidad de hacer funcionar las cosas.
La unidad de medida que utilizamos para cuantificar la energía es el joule (J), en honor al físico inglés James Prescott Joule
2.- Propiedades de las sustancias
2.1 Sustancia pura.
Una sustancia pura es aquella cuya composición no varía, aunque cambien las condiciones físicas en que se encuentre. Por ejemplo, el agua tiene una fórmula que es H2O y es siempre la misma, lo que indica que está formada por moléculas en las que hay 2 átomos de hidrógeno y 1 átomo de oxígeno
2.2 Fases de una sustancia pura.
Una Fase tiene una composición molecular distinta, es homogénea en todas sus partes y está separada por las demás superficies por fronteras llamadas interfases. Las fases están formadas según la fuerza de cohesión entre las moléculas, o enlaces, y a la distancia de sus moléculas.
Existen tres fases principales que puede tener una sustancia: sólida, líquida, o gaseosa.
2.2 Procesos de cambio de fase de sustancias puras
6.- Segunda ley de termodinámica
6.1. Introducción a la segunda ley de la termodinámica.
6.2. Segunda ley de la termodinámica de acuerdo con
6.2.1. El enunciado de Clausius
El enunciado de Clausius del Segundo Principio de la Termodinámica prohíbe la existencia de refrigeradores ideales
Es imposible un proceso que tenga como único resultado el paso de calor de un foco frío a un foco caliente.
Como el enunciado de Kelvin-Planck, el enunciado de Clausius está formulado de manera negativa. Expresa un hecho empírico. En términos llanos, el enunciado de Clausius nos dice que para enfriar algo por debajo de la temperatura ambiente es necesario un trabajo adicional, esto es, que un frigorífico no funciona si no se enchufa
El enunciado de Clausius establece un sentido para la propagación del calor. Éste fluye de manera espontánea de los cuerpos calientes a los fríos, nunca a la inversa.
6.2.2. El enunciado de Kelvin-PlanckA la hora de aumentar la eficiencia de una máquina, el primer objetivo sería reducir, o eliminar si es posible, el calor de desecho Qout.
Se pueden plantear dos posibilidades
- ¿Es posible eliminar el condensador y que una máquina térmica que no genere calor de desecho, sino que todo el calor absorbido se transforme en trabajo neto? Por ejemplo, podría usarse la turbina para enfriar directamente el vapor y reenviarlo a la caldera, sin pasar por un condensador donde se ceda calor al ambiente sin realizar trabajo útil.
- ¿Es posible una reutilización del calor de desecho, de forma que se haga recircular y se incluya en el calor absorbido? La idea sería que el calor de desecho contribuya a calentar el vapor, en lugar de arrojarlo al exterior.
La respuesta a ambas preguntas es negativa.
El enunciado de Kelvin-Planck del Segundo Principio de la Termodinámica es el siguiente:
Es imposible construir una máquina que, operando en un ciclo, produzca como único efecto la extracción de calor de un foco y la realización de una cantidad equivalente de trabajo
Este enunciado refleja un hecho empírico y no se deduce de ninguna ley previa.
El enunciado de Kelvin-Planck afirma que es imposible construir una máquina que tenga un rendimiento del 100%. Siempre habrá calor de desecho que, en la mayoría de los casos equivale a más de la mitad del calor absorbido.
Es importante señalar que el enunciado de Kelvin-Planck habla de procesos cíclicos, que dejan al sistema en un estado final igual a la inicial. Sí es posible transformar calor en trabajo si el estado final es diferente de la inicial. Por ejemplo, en una expansión isoterma de un gas, todo el calor que entra se transforma íntegramente en trabajo, pero al final el volumen del gas es diferente de la inicial.
6.3. Trascendencia de la segunda ley de la termodinámica
6.4. Depósitos de energía térmica.
6.5. Máquinas térmicas.
Una máquina térmica es un dipositivo cuyo objetivo es convertir calor en trabajo. Para ello utiliza de una sustancia de trabajo (vapor de agua, aire, gasolina) que realiza una serie de transformaciones termodinámicas de forma cíclica, para que la máquina pueda funcionar de forma continua.6.6. Refrigeradores y bombas de calor.
Refrigerador
Un refrigerador es un dispositivo que extrae calor de un foco que está más frío que el ambiente (como el interior de un frigorífico, a 5°C) y lo vierte en el ambiente (a 22°C, por ejemplo). Para funcionar, un refrigerador requiere un trabajo adicional Win, que aumenta el calor de desecho Qout que se entrega al ambiente.
Un frigorífico o un aparato de aire acondicionado son ejemplos de refrigeradores. En su uso habitual, lo que hacen los refrigeradores y aparatos de aire acondicionado es principalmente, mantener constante la temperatura del interior de una cámara o habitación, expulsado de forma continua el calor que va entrando por las paredes (aparte, si se introduce un objeto caliente en un frigorífico, éste se encarga de bajar la temperatura del objeto, consumiendo un trabajo adicional).
Una bomba de calor se basa en el mismo principio que un refrigerador, salvo que se emplea para pasar calor del ambiente a un foco más caliente, como una habitación, para caldearla. Para esto el, circuito debe estar situado de manera opuesta al caso del refrigerador. El compresor envía el fluido a alta presión al un condensador en el interior de la habitación, donde libera calor por estar a más temperatura que el ambiente. pasa entonces por la válvula hacia el exterior, donde se evapora y cae por debajo de la temperatura exterior, absorbiendo calor en el evaporador. Vuelve entonces al compresor, reiniciando el ciclo.
En el uso habitual, lo que hace una bomba de calor es principalmente mantener constante la temperatura del interior de una cámara o habitación, reintroduciendo de forma continua el calor que va escapando por las paredes (aparte, si se introduce un objeto frío en una habitación, la bomba de calor se encarga de elevar la temperatura del objeto, consumiendo un trabajo adicional).
Reversible: es un proceso que, una vez que ha tenido lugar, puede ser invertido (recorrido en sentido contrario) sin causar cambios ni en el sistema ni en sus alrededores. Irreversible: es un proceso que no es reversible. Los estados intermedios de la transformación no son de equilibrio.
6.8. Principio de Carnot
6.8.1. Ciclo de Carnot
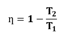
El ciclo de Carnot es un ciclo termodinámico que se produce en un equipo o máquina cuando trabaja absorbiendo una cantidad de calor Q1 de una fuente de mayor temperatura y cediendo un calor Q2 a la de menor temperatura produciendo un trabajo sobre el exterior.
El rendimiento de este ciclo viene definido por
y, como se verá adelante, es mayor que el producido por cualquier máquina que funcione cíclicamente entre las mismas fuentes de temperatura. Una máquina térmica que realiza este ciclo se denomina máquina de Carnot.
Como todos los procesos que tienen lugar en el ciclo ideal son reversibles, el ciclo puede invertirse y la máquina absorbería calor de la fuente fría y cedería calor a la fuente caliente, teniendo que suministrar trabajo a la máquina. Si el objetivo de esta máquina es extraer calor de la fuente fría (para mantenerla fría) se denomina máquina frigorífica, y si es ceder calor a la fuente caliente, bomba de calor.
Fue publicado por Sadi Carnot en 1824 en su único libro Réflexions sur la puissance motrice du feu et sur les machines propres à développer cette puissance1 (Reflexiones sobre la potencia motriz del fuego y sobre las máquinas propias a desarrollar esta potencia) y permitió abrir el camino para la formulación de la segunda ley de la termodinámica.
En las consideraciones que hemos tomado para un Ciclo de Carnot no hemos tomado en cuenta las propiedades de fluido de trabajo. Este no está limitado al uso de un gas ideal y puede ser cualquier medio. Si bien en las primeras secciones obtuvimos la eficiencia de Carnot considerando en un gas ideal, así como la definición de temperatura usando la ecuación del gas ideal estas no son esencialmente un fomalismo termodinámico. Más específicamente, podemos definir una escala de temperatura termodinámica que es independiente del fluido de trabajo. Para llevar a cabo esto, consideremos la situación que se muestra en la figura (58) que incluye tres ciclos reversibles. Se tiene un reservorio de calor de alta temperatura a
y un reservorio de calor a baja temperatura
. Para cualesquiera dos temperaturas
y
la razón de las magnitudes de calor absorbido y expelido en el ciclo de Carnot tienen el mismo valor para todo el sistema
6.8.3. La máquina térmica de Carnot.
La
Una máquina de Carnot es el procedimiento más eficaz para producir un trabajo a partir de dos focos de temperatura.
Puede construirse a partir de un cilindro sobre el que discurre un pistón unido a una biela que convierte el movimiento lineal del pistón en movimiento circular. El cilindro contiene una cierta cantidad de un gas ideal y la máquina funciona intercambiando calor entre dos fuentes de temperaturas constantes T1 < T2. Las transferencias de calor entre las fuentes y el gas se hacen isotérmicamente, es decir, manteniendo la temperatura constante. Esta parte del proceso es, por lo tanto, reversible. El ciclo se completa con una expansión y una compresión adiabáticas, es decir, sin intercambio de calor, por lo que esta parte del ciclo es también reversible.
Funcionamiento de la Máquina de Carnot
- (1) Expansión isotérmica. Se parte de una situación en que el gas ocupa el volumen mínimo Vmin a la temperatura T2 y a presión alta. En este estado se transfiere calor al cilindro desde la fuente de temperatura T2, haciendo que el gas se expanda. Al expandirse, el gas tiende a enfriarse, pero absorbe calor de T2 y mantiene su temperatura constante. El volumen del gas aumenta produciendo un trabajo sobre el pistón. Dado que la temperatura permanece constante durante esta parte del ciclo, el gas no cambia su energía interna y todo el calor absorbido de T2 se convierte en trabajo:
- dQ1 = dW1 > 0, dU1 = 0.
- (2) Expansión adiabática. La expansión isotérmica termina en un punto tal que el resto de la expansión pueda realizarse sin intercambio de calor. Esta expansión adiabática hace que el gas se enfríe hasta alcanzar exactamente la temperatura T1 en el momento en que el pistón alcanza el punto máximo de su carrera y el gas alcanza su volumen máximo Vmax. Durante esta etapa todo el trabajo realizado por el gas proviene de su energía interna:
- dQ2 = 0, dU2 = dW2 > 0.
- (3) Compresión isotérmica. Se pone en contacto con el cilindro la fuente de calor de temperatura T1 y el gas comienza a comprimirse, pero no aumenta su temperatura porque va cediendo calor a la fuente fría. Durante esta parte del ciclo se hace trabajo sobre el gas pero, como la temperatura permanece constante, la energía interna no cambia y el trabajo es absorbido en forma de calor por la fuente T1:
- dQ3 = dW3 < 0, dU3 = 0.
- (4) Compresión adiabática. La fuente T1 se retira en el momento adecuado para que durante el resto de la compresión el gas eleve su temperatura hasta alcanzar exactamente el valor T2 al mismo tiempo que el volumen del gas alcanza su valor mínimo Vmin. Durante esta etapa no hay intercambio de calor y el trabajo realizado sobre el gas se convierte en energía interna:
- dQ4 = 0, dU4 = dW4 < = 0.
Trabajo realizado
Por la Primera Ley de la Termodinámica, en cada ciclo la máquina realiza un trabajo mecánico dW igual al calor dQ transferido de T2 a T1, lo cual se puede comprobar usando las igualdades obtenidas en cada ciclo:
- dQ = dQ1 + dQ3 = dW1 + dW3.
donde la segunda igualdad se obtiene de 1) y 3). Por otro lado, el estado del gas al terminar un ciclo es el mismo que al comenzarlo, por lo que el cambio de su energía interna debe ser cero:
- dU1 + dU2 + dU3 + dU4 = 0.
De esta igualdad y de 1), 2), 3) y 4) se deduce que dW2 + dW4 = 0. Por lo tanto
- dQ = dW1 + dW3 = dW1 + dW2 + dW3 + dW4 = dW.
El rendimiento de una máquina de Carnot (el cociente entre el calor absorbido y el trabajo desempeñado) es máximo y puede calcularse como:

6.8.4. El refrigerador y la bomba de calor de Carnot.
6.9. Ciclo Stirling
El
6.10. Ciclo Ericsson
El ciclo
6.11. Desigualdad de Clausius
La desigualdad de Clausius se aplica a cualquier motor de ciclo real y supone para el ciclo un cambio negativo de la entropía. Es decir, la entropía dada al medio ambiente durante el ciclo, es más grande que la entropía transferida por el calor del foco caliente al motor. En el motor térmico simplificado, donde se añade todo el calor QH a la temperatura TH, entonces para completar el ciclo se añade al sistema una cantidad de entropía ΔS = QH/TH, que se obtiene del medio ambiente. En general, la temperatura del motor será menor que TH al menos durante la parte del tiempo en que se está añadiendo calor, y cualquier diferencia de temperatura supone un proceso irreversible. En cualquier proceso irreversible se crea un exceso de entropía, y por tanto se debe arrojar más calor al foco frío, para deshacerse de esta entropía. Esto deja menos energía para realizar trabajo.
6.12. Entropía.La entropía (S) es una medida del desorden en un sistema termodinámico. También se define como el posible número de maneras en las que las partículas y su energía pueden ser distribuidas en un sistema. Su unidad de medida es J·K-1 mol-1
6.13. El principio del incremento de entropía.
6.14. Diagramas T–S y H–S.
6.15. Ecuaciones Tds
6.15.1. Ecuaciones Gibbsianas
6.16. El cambio de entropía de sustancias puras.
6.17. El cambio de entropía de líquidos y sólidos.
6.18. El cambio de entropía de gases ideales.
Si la temperatura cambia durante el flujo de calor, debe mantenerla dentro de la integral para resolver el cambio de entropía. Sin embargo, si la temperatura es constante, se puede calcular simplemente el cambio de entropía como el flujo de calor dividido por la temperatura.
6.19. Eficiencias adiabáticas de algunos dispositivos de flujo permanente.
7.Disponibilidad de energía y reacciones termodinámicas
7.1. Trabajo máximo
Si la transformación además de isotérmica es reversible, el trabajo realizado por el sistema será el máximo posible entre los estados inicial y final de la transformación.
La condición de reversibilidad es necesaria puesto que si la presión exterior fuera apreciablemente menor, (en lugar de infinitesimalmente menor) que la presión del gas, el trabajo de expansión sería también menor.
Se desea llevar un sistema de un estado A a otro B y se dispone de dos sistemas auxiliares:uno que sólo puede intercambiar trabajo, y otro que sólo puede intercambiar calor. Elteorema que presentamos aquí establece que el trabajo entregado es máximo (y el calorentregado, mínimo) cuando el proceso A→ B es reversible.Este teorema generaliza el resultado obtenido en el ejemplo que dimos más arriba (§). Parademostrarlo, comencemos notando que las variaciones de energía interna y de entropía delsistema serán iguales para todos los procesos que tengan como estados inicial y final a losestados A y B, ya que tanto U como S son funciones de estado. Podemos pensar que cadaproceso está conformado por una sucesión de procesos infinitesimales, de manera que:7.1.1. Trabajo máximo que intercambia calor con la atmósfera y un depósito a TR.
7.1.2. Trabajo reversible e irreversibilidad.
Durante la expansión, el trabajo realizado en los alrededores es de magnitud W = R P dV , donde P se puede
tomar como la presión del sistema. El trabajo realizado por el sistema es NRT1 ln (V2/V1). Al final de la expansión
isotérmica, por tanto
1. Los alrededores han recibido trabajo W
2. Los alrededores han entregado calor, Q, que es numéricamente igual que W.
Ahora deseamos restaurar el sistema a su estado inicial, justo como hicimos en la expansión libre. Para hacer esto
necesitamos realizar trabajo sobre el sistema y extraer calor del sistema, al igual que como hicimos en la expansión
libre. De hecho, ya que nosotros estamos haciendo una transición entre los mismos estados a lo largo de la misma
trayectoria, el trabajo y el intercambio de calor son iguales que aquellos para el proceso de la compresión examinado
anteriormente.
Sin embargo, el resultado total de restaurar el sistema al estado inicial es absolutamente diferente para la expansión reversible que para la expansión libre. Para la expansión reversible, el trabajo necesario sobre el sistema para
comprimirlo tiene la misma magnitud que el trabajo realizado durante el proceso de expansión. De hecho, podríamos
levantar un peso durante la expansión y después bajarlo durante el proceso de compresión. Similarmente el calor
agregado al sistema por los alrededores durante el proceso de expansión tiene la misma magnitud que el calor recibido
durante el proceso de compresión. El resultado es que, cuando el, sistema ha sido restaurado a su condición inicial,
también ha sido restaurado los alrededores. No existe rastro de todo el proceso tanto en el sistema como en los
alrededores. Esto es otro significado de la palabra "reversible".
7.2. Eficiencia de la segunda ley
Nicolás Léonard Sadi Carnot (1796 - 1832) fue hijo de Lazare Carnot, conocido como el Gran Carnot, y tío de Marie François Sadi Carnot, que llegó a ser Presidente de la República Francesa. Sadi Carnot fue un ingeniero y oficial de la milicia francesa y es el pionero y fundador en el estudio de la Termodinámica. Hay quienes conceden a Sadi Carnot ser el padre de la Termodinámica, pero su condición de ingeniero indigna a algunos físicos quienes dan la paternidad de la Termodinámica a William Thomson (Lord Kelvin) y a Plank, inclusive se menciona que el concepto de Ciclo Carnot quizá viene de la influencia de Emile Clapeyron quien en 1934 analizó y realizó gráficos del ensayo de Sadi Carnot. Licenciado en la Escuela Politécnica, en 1824 publicó Reflexiones sobre la potencia motriz del fuego y sobre las máquinas adecuadas para desarrollar esta potencia, en donde expuso los dos primeros principios de la termodinámica. Estos trabajos, poco comprendidos, inclusive despreciados por la comunidad científica (algunos físicos prominentes) de la época, fueron más tarde conocidos en Alemania por Rudolf Clausius, que fue quien los difundió y William Thomson (lord Kelvin) quien hizo lo propio en el Reino Unido. Cabe mencionar que el ensayo de Carnot fue recogido por Clausius y Thompson para formular de una manera matemática, las bases de la termodinámica. Como reconocimiento a las aportaciones pioneras, el principio de Carnot se rebautizó como principio de CarnotClausius. Este principio permite determinar el máximo rendimiento de una máquina térmica en función de las temperaturas de su fuente caliente y de su fuente fría. Cuando Luis XVIII envió a Carnot a Inglaterra para investigar el elevado rendimiento de sus máquinas de vapor, se dio cuenta que la creencia generalizada de elevar la temperatura lo más posible para obtener el vapor mejoraba el funcionamiento de las máquinas. Poco después descubrió una relación entre las temperaturas del foco caliente y frío y el rendimiento de la máquina. Como corolario se obtiene que ninguna máquina real alcanza el rendimiento teórico de Carnot (obtenido siguiendo el ciclo de Carnot), que es el máximo posible para ese intervalo de temperaturas. Toda máquina que sigue este ciclo de Carnot es conocida como máquina de Carnot. Sadi Carnot no publicó nada después de 1824 y es probable que él mismo creyera haber fracasado. Su pensamiento es original, único en la historia de la ciencia moderna, pues a diferencia de lo que le sucede a muchos otros científicos, no se apoya en nada anterior y abre un amplio campo a la investigación
7.3. Energía asociada con energía interna, cinética y potencial, Pv y H.
















































Comentarios
Publicar un comentario